Diario de Nadia Jiménez
Etiquetas
Economía
(6)
EF
(1)
Geofrafía e Historia
(1)
Inglés
(1)
Latín
(1)
Lengua
(1)
Matemáticas
(22)
Plástica
(1)
TIC
(1)
Valores Éticos
(1)
viernes, 22 de febrero de 2019
Corrección de la recuperación 1ª evaluación
Ejercicio 1
Ejercicio 2
Ejercicio 3
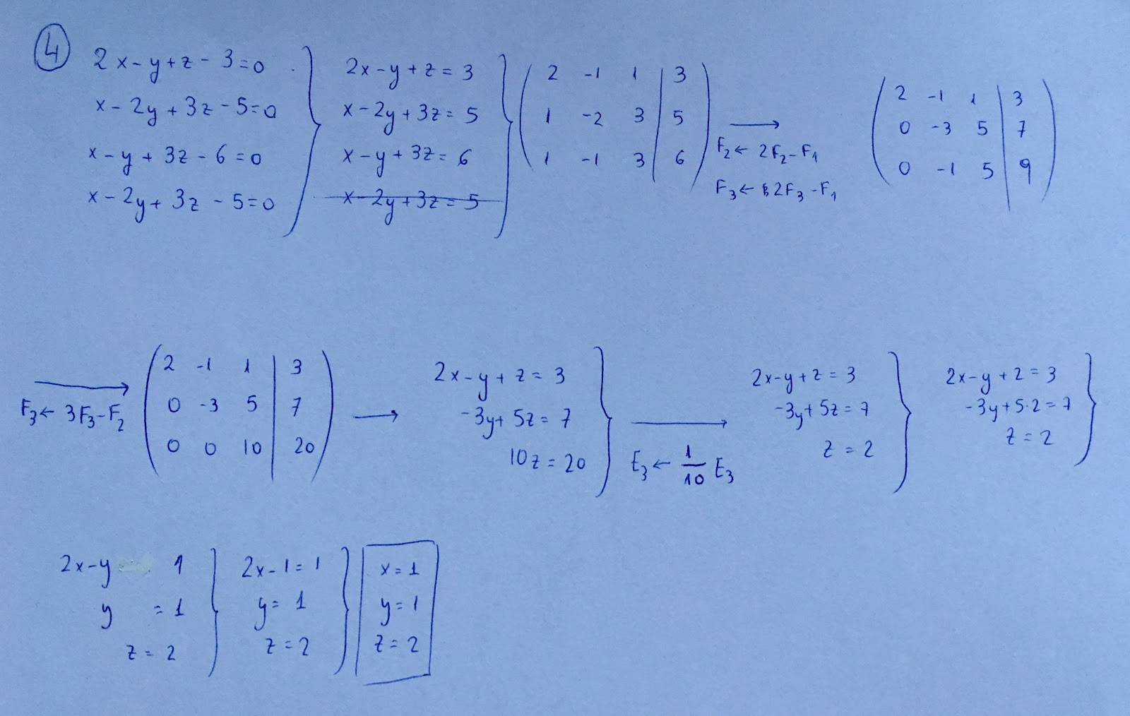
Ejercicio 4
Ejercicio 5
Entradas más recientes
Entradas antiguas
Inicio
Suscribirse a:
Comentarios (Atom)